型號:DX-WDS-Pt系列
產品中心Product Center
-
溫度類傳感器
- 薄膜鉑電阻溫度傳感器
- NTC熱敏電阻溫度傳感器
-
壓力類傳感器
- 壓力傳感器
-
濕度類傳感器
- 溫濕度模組IIC版本3系
- 溫濕度模組IIC版本4系
- 溫濕度模組RS485版本
-
氣體類傳感
- 氣體傳感器
-
其它傳感器
- 霍爾傳感器
聯系我們
CONTACT US
薄膜鉑電阻溫度傳感器
薄膜鉑電阻芯片Pt100、Pt500、Pt1000
薄膜鉑電阻芯片的特性和優勢
1、測量范圍廣(最高溫度可達800°)
2、測量精度高,響應速度快
3、獨有的高溫封裝工藝,服役可靠性高
產品應用 : 汽車、醫療、電機、工業、新能源、高端家電、半導體
薄膜鉑電阻芯片的性能和參數
1、鉑電阻元件的溫度系數TCR我們提供
符合IEC751標準的TCR=0003851的鉑電阻元
的鉑電阻元件如TCR=0.003750等
2、溫度-阻值表
| 標稱阻值(Ω) | 100 | 500 | 1000 |
|---|---|---|---|
| TCR(10-6/K) | 3851 | ||
| 溫度(℃) | 電阻值(Ω) | ||
| -50 | 80.31 | 401.53 | 803.07 |
| 0 | 100.00 | 500.00 | 1000.00 |
| 50 | 119.40 | 596.98 | 1193.95 |
| 100 | 138.51 | 692.50 | 1385.00 |
| 150 | 157.33 | 786.57 | 1573.15 |
| 200 | 175.86 | 879.20 | 1758.40 |
| 250 | 194.10 | 970.37 | 1940.74 |
| 300 | 212.05 | 1060.09 | 2120.19 |
| 350 | 229.72 | 1148.37 | 2296.73 |
薄膜鉑電阻溫度傳感器(非標定制)
型號:DX-WDS-Pt系列
薄膜鉑電阻溫度傳感器(非標定制)的特性與優勢
1:開口接線端子和針型接線端子
2:防水環氧樹脂密封,銅探頭和不銹鋼探頭尺寸4*30mm(可定制大小)
3:接線方式有兩線制、三線制、四線制防水雙滾槽滾壓工藝,可防水、防油
4:四氟鍍銀線電極線、杜鎂絲電極線等(可定制長度)
NTC熱敏電阻溫度傳感器
NTC熱敏電阻芯片
測量范圍:-253°C至1300℃
定制化服務:尺寸大小、B值、阻值等
應用范圍:光模塊、紅外熱電堆、IGBT功率模塊、集成模塊、制造溫度傳感元件
| 常規型號 | B(K) | R25(KΩ) | 尺寸 | 電極 |
|---|---|---|---|---|
| DX-WDS-NTC-S3950 | 3950 | 10 | 1.0*1.0*0.5 | 銀 |
| DX-WDS-NTC-S3935 | 3935 | 10 | 0.65*0.65*0.3 | 銀 |
| DX-WDS-NTC-S3977 | 3977 | 10 | 0.65*0.65*0.3 | 銀 |
| DX-WDS-NTC-S3930 | 3930 | 10 | 0.34*0.34*0.25 | 金 |
| DX-WDS-NTC-S3950 | 3950 | 10 | 0.53*0.53*0.2 | 金 |
NTC熱敏電阻元件特性和優勢
1:采用單端玻璃封裝
2:體積小,響應快,外形尺寸最小可達中0.5mm
3:阻值及B值精度高
4:采用全自動化生產,一致性高,可大批量供應
5:長期穩定性高,可靠性高
6:適用于多油煙、多粉塵、高濕度等惡劣環境
NTC熱敏電阻溫度傳感器特性與優勢
1:采用不銹鋼、銅套管密封
2:阻值R25°C=10KΩ#其他阻值支持定制
3:絕緣電阻DC.500V 100MΩ,絕緣耐壓AC.1500V 1分鐘
4:工作溫度-40°C——+105°C
5:B25/50=3950K #其他B值支持定制
6:時間常數約為15s(攪拌水中)
7:耗散系數約為2.5mW/C(靜止空氣中)
溫度NTC電阻應用方案
方案介紹
廣州德芯半導體自主研發、設計了一款NTC電阻溫度傳感器,此溫度傳感器采用陶瓷封裝技術制成,可用于家電領域溫度測量。在微波爐中,此溫度傳感器配合對應MCU,可以通過檢測當前溫度值,從而完成微波爐的加熱、停止、開啟、關閉等各種狀態。
功能方案
應用領域
微波爐測溫
空調測溫
冰箱測溫
熱水器測溫
下載文件
壓力傳感器
壓力傳感器芯片
德芯壓力傳感器系列產品采用雙芯片設計,以高可靠性硅壓阻芯片作為敏感核心,內部集成了高線性度溫度傳感器及數字信號處理電路,
可對傳感器的測量結果進行溫度補償和數字補償,以通用數字接口輸出壓強和溫度的測量結果,同時產品采用業界領先水平的納米防護鍍膜處理,使產品具備優異的防水和防腐蝕性能,提高產品的可靠性和長期穩定性。
壓力傳感器元件特性和優勢
1:優異的長期穩定性
2:多種封裝形式
3:極低的功耗
4:穩定的信號輸出
5:良好的響應速度
壓力傳感器產品功能
1:帶有24-bit高精度模數轉換的模擬前端電路
2:可編程的前置放大器增益,增益范圍為13.2x~72x
3:內置自動補償的高線性度溫度傳感器,自動對采集的傳感器信號進行溫度補償可同時對傳感器信號的零點誤差及溫漂、靈敏度誤差及溫漂、非線性度誤差進行最高二階補償。
4:傳感器校正后的準確度一般可以小于(士0.1%FSO@-25~+85C)內置溫度傳感器測量范圍-40~+150°C,分辨率< 0.003K
/LSB。
壓力傳感器應用方案
方案介紹
廣州德芯半導體自主研發、設計了一款壓力傳感器。此壓力傳感器采用半導體MEMS工藝制作而成,可用于家電行業內壓力測量。傳感器在壓力鍋中,此壓力傳感器通過檢測當前壓力鍋中壓力傳感器數值,推斷出當前壓力鍋中食物狀態,使得壓力鍋自動切換不同狀態。
功能方案
應用領域
掃地機器人
空氣能熱水器
吸塵器
壓縮機
申請規格書
溫濕度模組DXSTH3GHA3350
產品簡述
DXSTH3GHA3350(以下簡稱“產品”)模組是基于敏感元件極微弱電信號檢測設計
以及MEMS工藝設計開發完成的智能溫濕度傳感器,由集成電路板、外殼機構件、線纜
及接頭等部件組成,可根據用戶需求設置兩個獨立I2C通信地址,I2C通信速度可達1MHz,
可以便捷集成在各種應用場合。此外,2.2~5.5V寬供電電壓范圍使得它可以適應各種
供電環境。
產品特點
1、I2C標準通信總線、高線性度、溫度補償數字輸出;
2、標準I2C接口,通信速度可達1MHz;
3、可測量0~100%RH范圍相對濕度,測量-45~125℃范圍內溫度;
4、測量時間低至2.5ms;
5、高可靠性和長期穩定性;
注意事項
1、DXSTH3GHA3350數字溫濕度模組儲存環境要求:溫度:0~60℃;濕度:20%~90%RH。
2 、安裝過程中應盡量避免機械外力作用于產品的任何部分,并且盡量避免震動。
3 、對于產品的安裝操作應避免靜電影響。
4 、避免灰塵、泥巴、油脂等污染物進入模組殼體內部而造成模組采集異常或損壞。
工作環境要求
| 項目 | 符號 | 參數 | 單位 |
|---|---|---|---|
| 工作溫度范圍 | T | -30~T上限 | ℃ |
| 工作濕度范圍 | RH | 0~100 | %RH |
| 工作電壓 | VDD | 2.2~5.5 | V |
| 最大工作電流 | IDDMAX | 1500 | μA |
注:T上限對應PCBA和結構件為 85℃;T上限對應連接線為 80℃;
產品參數及使用建議
1、濕度性能規格參數
| 參數 | 條件 | 數值 | 單位 |
|---|---|---|---|
| 精度公差 | 典型值 | ±2 | %RH |
| 最大值 | 圖1 | ||
| 可重復性 | 低,典型值 | 0.2 | %RH |
| 中,典型值 | 0.15 | ||
| 高,典型值 | 0.08 | ||
| 分辨率 | 典型值 | 0.01 | %RH |
| 滯后 | 25℃環境下 | ±0.8 | %RH |
| 檢測區間 | 測量范圍 | 0-100 | %RH |
| 響應時間 | τ63% | 4~8 | s |
| 長期漂移 | Typ | <0.25 | %RH/yr |
2、溫度性能規格參數
| 參數 | 條件 | 數值 | 單位 |
|---|---|---|---|
| 精度公差 | 典型值:0℃~65℃ | ±2 | ℃ |
| 最大值 | 圖2 | - | |
| 可重復性 | 低頻率時典型值 | 0.15 | ℃ |
| 中頻率時典型值 | 0.08 | ℃ | |
| 高頻率時典型值 | 0.04 | ℃ | |
| 分辨率 | 典型值 | 0.01 | ℃ |
| 檢測區間 | - | -40 to 125 | ℃ |
| 響應時間 | τ63% | >2 | s |
| 長期漂移 | 最大值 | <0.03 | ℃/yr |
3、產品性能圖
圖 1 25%RH環境下誤差隨溫度變化曲線
圖 2 溫度精度隨溫度變化曲線
4、推薦工作環境
在推薦的正常溫度和濕度范圍(分別為5°C~60°C 和 20%RH~80%RH)下運行時,
模組展示出最佳性能。長期暴露在正常范圍以外的條件下,特別是在高濕度下,可能會
暫時偏移相對濕度信號(例如,保持>80%相對濕度 60 小時后+3%相對濕度)。在回到
正常的溫度和濕度范圍后,傳感器將緩慢地自行回到校準狀態;長期暴露在極端條件下
可能加速老化。
通信協議及數據換算
1、產品基本信息
- 通信地址:7位I2C地址默認0X44(可定制為0X45);
- 通信速率:0至1MHz;
注意:高于400KHz的通信速度需嚴格遵循高速I2C通信標準。
2、溫濕度測量
溫濕度模組進行溫濕度測量時,需先發送一個開始信號,然后發送一個I2C的寫操
作頭,然后再跟隨一個16位的溫濕度轉換命令,模組收到上位機發送的每個字節數據后,
會通過將SDA總線拉到低電平給出ACK信號,完整的溫濕度測量和數據讀取過程見圖
3 單次轉換模式流程,在正確的收到溫濕度轉換命令并發送ACK信號給主機之后,溫
濕度模組內部開始啟動溫度和濕度的轉換測量。
圖 3 單次轉換模式流程
3、進入單次轉換模式的命令
溫濕度模組收到這些命令后會進入單次轉換模式,完成一次完整的溫濕度轉換后,
將溫濕度數據存放在接口寄存器,等待上位機讀取測量數據。這組測量數據包括16bit
的溫度數據以及8bit的CRC,隨后是16bit 的濕度數據以及8bit的CRC,具體說明見 4.4 節。
在單次轉換模式中可以選擇不同的16位轉換命令,具體說明見表 1 單次轉換模式的測
量命令,它們的區別在于轉換重復率和clock stretching的開啟和關閉;重復率越高,轉
換持續的時間越長,功耗越高,但是轉換精度越高。
表 1 單次轉換模式的測量命令
4、讀取單次轉換模式中溫濕度數據
在溫濕度模組完成溫濕度測量之后,主機可以通過發送START信號+I2C 讀取數據
頭來讀取溫濕度數據,如果溫濕度模組的溫濕度數據已經準備好,那么模組會向主機發
送ACK信號,并隨后發送2字節的溫度數據加1字節的CRC校驗數據,然后再發送2字節
的濕度數據加1字節的CRC校驗數據,主機需要對接收到的每個字節數據發送ACK信號,
否則模組會停止發送數據,主機在收到濕度數據的CRC字節后應該發送一個NACK和一
個STOP信號來結束本次數據傳輸,如圖 2 單次轉換模式流程和表 1 單次轉換模式的
測量命令所示。
I2C主機能夠隨時發送NACK來終止數據傳輸,比如I2C不關心溫度數據的CRC結果
或者不關心后面的濕度數據,都可以在收到想要的數據后終止數據傳輸,從而節約時間。
Clock Stretching關閉
如果clock stretching功能關閉,那么發送溫濕度轉換命令后,如果溫濕度轉換還沒
有完成就開始讀溫濕度數據,這時候模組會給出NACK,只有等待時間足夠長,保證溫
濕度轉換已經完成再讀數據才會得到模組的響應;溫濕度轉換時間見規格參數表。
Clock Stretching開啟
當clock stretching開啟時,不論模組的溫濕度測量是否完成,只要上位機發送讀數
據頭,芯片都會給出ACK,并將SCL拉低。一旦測量完成會立刻釋放SCL總線,然后模
組開始發送測量到的溫濕度數據。
5、進入單次轉換模式的命令
在收到周期轉換溫濕度命令后,模組會周期性轉換溫濕度,可以選擇不同的周期轉
換模式,如表 2 周期轉換命令 所示;這些命令的主要差別在于重復率(高、中、低)
和周期轉換頻率(如每秒 0.5次,1次,2次,4次和10次),在周期轉換模式下clock stretching
不能開啟,周期轉換頻率和重復率的不同會影響測量的時間和功耗。
表2 周期轉換命令
當主機發送測量命令時,模組正處于測量期間(測量周期見表 3 系統時間規格,
-40℃~125℃,DC2.4 V~5.5 V),則需要主機先發送一個中止命令,傳感器收到中止命
令后即放棄正在進行的測量,并重新進入單次測量模式。
| 參數 | 符號 | 條件 | 最小值 | 典型值 | 最大值 | 單位 | 備注 |
|---|---|---|---|---|---|---|---|
| 電源上升時間 | TPU | 硬件復位,VDD≥ VPOR | - | 0.5 | 1 | ms | VDD上升到VPOR并且模塊進入空閑狀態 |
| 軟件復位時間 | TSR | 軟件復位后 | - | 0.5 | 1.5 | ms | 軟件復位命令的ACK和模塊進入空閑狀態的時間 |
| 測量時長 | TMEAS,L | 重復性:低 | - | 2.5 | 4 | ms | 三種重復性模式的區別:測量時長,噪音水平和功耗 |
| TMEAS,M | 重復性:中 | - | 4.5 | 6 | ms | ||
| TMEAS,h | 重復性:高 | - | 12.5 | 15 | ms |
6、讀取周期轉換模式中溫濕度數據
讀取周期測量得到的溫濕度數據需要發送專用的數據讀取命令,如表 4 讀取周期
轉換的溫濕度數據命令所示;如果當前沒有測量數據,那么模組會對主機發送的讀數據
返回NACK信號(見表 4 讀取周期轉換的溫濕度數據命令的第 9bit 位),主機需要暫
停數據讀取操作,等待模組完成溫濕度數據測量完成后再發送讀取命令;如果主機讀取
了溫濕度數據,那么模組內部存儲溫濕度數據的緩存器會被清零,直到下一次測量得到
的溫濕度數據被裝載進來。
表4 讀取周期轉換溫濕度數據的命令
7、中斷周期測量模式
主機通過發送表 5 中斷周期測量模式命令中的命令,中斷模組的周期測量模式;
除了讀取周期測量溫濕度數據的命令外,發送其它任何命令之前,建議先發送中斷周期
測量模式的命令;芯片收到這個命令之后會在當前測量完成之后退出周期測量模式,進
入正常的單次測量模式;這個模式切換的時間需要1ms。
表5 中斷周期測量模式命令
8、模組復位
模組的系統復位可以通過發送復位命令(軟復位)實現。此外上電也會復位芯片,
需要注意的是,在復位期間模組不會處理任何來自主機的命令。軟復位產品模組提供一
種軟復位機制,可以在不斷電的情況下將系統復位到預定義的狀態。 當模組處于空閑
狀態下時可以發送軟復位命令,模組收到軟復位命令后會復位內部控制模塊,重新裝載
非易失性存儲器中的數據。軟復位的命令如表 6 軟復位命令所示。
表6 軟復位命令
此外還可以通過符合I2C標準的General call對模組進行復位。這種復位的功能和通
過軟復位的功能是一樣的。需要注意這個命令不是單獨對本產品模組進行復位,所有在
I2C總線上并支持General Call功能的設備在收到該命令后都會復位。General Call命令見
表 7 General Call 復位命令。
表7 General Call 復位命令
9、加熱器
模組內部配備一個加熱器,當開啟加熱器之后芯片的溫度會升高,但是溫度范圍是
固定的,這個加熱器可以通過對應的命令進行開關(如表 8 加熱器命令所示),加熱
器的開關狀態也反應在內部狀態寄存器中。
表8 加熱器命令
10、CRC校驗
對于數據讀取,每2個8位的數據之后都有1個8位的CRC校驗和,如表 9 CRC 屬
性表所示,如果不需要校驗和,主機可以在讀取2個8位的數據之后,停止數據讀取。
表9 CRC 屬性表
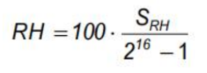
11、輸出數據轉換
模組輸出的溫濕度數據是16位無符號數據,這些數據已經經過線性化處理和溫度補
償,將這些原始數據轉換成真實的溫度和濕度數據需要經過用到下列公式:
(1) 溫度轉換公式(單位:° C & ° F)
(2) 相對濕度轉換公式(單位:%RH)
其中,SRH主控端通過I2C收到的相對濕度的通信數據。
產品電路原理圖
外形尺寸及管腳定義
型號和生產流水碼標簽
為了使集成化的溫濕度模組命名規范化,同時便于質量管理和質量追溯, 在溫濕
度傳感器外殼上用激光打印3行內容:
第一行:公司名稱,中英文均可。
第二行:產品型號。
第三行:生產批次,年月流水碼,如202308批次為2023年08月生產。
產品型號注解如下:
“DXS”:廣州德芯半導體傳感器產品系列;
“TH” :溫濕度類型傳感器;
“3” :外形封裝,1、 環氧樹脂包封,2、 鋁殼、 銅殼、 不銹鋼殼等封裝,3、
塑料殼封裝 ,4、 加固定金屬片,5、 防水透氣膜封裝,6、特殊形式封裝 ;
“G” :溫度準確度等級,詳細參數查閱表 9 測溫最大允許誤差;
“H” :濕度準確度等級,詳細參數查閱表 10 測濕最大允許誤差;
“A” :通信總線類型,“A”為I2C總線,“B”為RS232總線,“C”為RS485總線,“D” 為單總線,“E”為CAN總線;
“3” :直流供電電壓,3為DC3.3V,5為DC5V,12為DC12V;
“350”:電子線纜長度,單位為mm;
| 準確度等級 | F | G | H | J | K | L |
| 允許誤差/℃ | ±0.1 | ±0.2 | ±0.3 | ±0.4 | ±0.5 | 其它 |
| 準確度等級 | C | D | E | F | G | H | J | K | L |
| 允許誤差/%RH | ±0.5 | ±0.8 | ±1 | ±1.5 | ±1.8 | ±2 | ±2.5 | ±3 | 其它 |
溫濕度模組DXSTH3GGA3350
產品簡述
DXSTH3GGA3350(以下簡稱“產品”)模組是基于敏感元件極微弱電信號檢測設計
以及MEMS工藝設計開發完成的智能溫濕度傳感器,由集成電路板、外殼機構件、線纜
及接頭等部件組成。可根據用戶需求設置兩個獨立I2C通信地址,I2C通信速度可達1MHz,
可以便捷集成在各種應用場合。同時產品保持了超低功耗預算,內部集成三檔可變功率
加熱器,從而使傳感器能在苛刻的環境中工作。
產品特點
1、I2C標準通信總線、高線性度、溫度補償數字輸出;
2、標準I2C接口,通信速度可達1MHz;
3、典型精度為±1.8%RH和±0.2℃;
4、可測量0~100%RH范圍相對濕度,測量-45~125℃范圍內溫度;
5、測量時間低至2.5ms;
6、供電電壓DC1.08V~3.6V;
7、高可靠性和長期穩定性;
8、超低功耗;
注意事項
1、DXSTH3GGA3350數字溫濕度模組儲存環境要求:溫度:0~60℃;濕度:20%~90%RH。
2 、安裝過程中應盡量避免機械外力作用于產品的任何部分,并且盡量避免震動。
3 、對于產品的安裝操作應避免靜電影響。
4 、避免灰塵、泥巴、油脂等污染物進入模組殼體內部而造成模組采集異常或損壞。
工作環境要求
| 項目 | 符號 | 參數 | 單位 |
|---|---|---|---|
| 工作溫度范圍 | T | -30~T上限 | ℃ |
| 工作濕度范圍 | RH | 0~100 | %RH |
| 工作電壓 | VDD | 1.08~3.6 | V |
| 最大工作電流 | IDDMAX | 500 | μA |
注:T上限對應PCBA和結構件為 85℃;T上限對應連接線為 80℃;
產品參數及使用建議
1、濕度性能規格參數
| 參數 | 條件 | 數值 | 單位 |
|---|---|---|---|
| 精度公差 | 典型值 | ±1.8 | %RH |
| 最大值 | 圖1 | - | |
| 可重復性 | 低 | 0.25 | %RH |
| 中 | 0.15 | ||
| 高 | 0.08 | ||
| 分辨率 | - | 0.01 | %RH |
| 滯后 | - | ±1 | %RH |
| 檢測區間 | - | 0~100 | %RH |
| 響應時間 | τ63% | 6 | s |
| 長期漂移 | 典型值 | <0.25 | %RH/yr |
2、溫度性能規格參數
| 參數 | 條件 | 數值 | 單位 |
|---|---|---|---|
| 精度公差 | 典型值:0℃~65℃ | ±0.2 | ℃ |
| 最大值 | 圖2 | - | |
| 可重復性 | 低 | 0.1 | ℃ |
| 中 | 0.07 | ℃ | |
| 高 | 0.04 | ℃ | |
| 分辨率 | - | 0.01 | ℃ |
| 檢測區間 | - | -40 to +125 | ℃ |
| 響應時間 | τ63% | >2 | s |
| 長期漂移 | 典型值 | <0.03 | ℃/yr |
3、產品性能圖
圖 1 25%RH環境下誤差隨溫度變化曲線
圖 2 溫度精度隨溫度變化曲線
4、時序和延時
| 參數 | 符號 | 條件 | 最小值 | 典型值 | 最大值 | 單位 | 備注 |
|---|---|---|---|---|---|---|---|
| 電源上升時間 | TPU | 硬件復位,VDD≥ VPOR | - | 0.3 | 1 | ms | VDD上升到VPOR并且模塊進入空閑狀態 |
| 軟件復位時間 | TSR | 軟件復位后 | - | - | 1 | ms | 軟件復位命令的ACK和模塊進入空閑狀態的時間 |
| 測量時長 | TMEAS,L | 重復性:低 | - | 1.3 | 1.7 | ms | 三種重復性模式的區別:測量時長,噪音水平和功耗 |
| TMEAS,M | 重復性:中 | - | 3.7 | 4.5 | ms | ||
| TMEAS,h | 重復性:高 | - | 6.9 | 8.2 | ms |
5、推薦工作環境
在推薦的正常溫度和濕度范圍(分別為5°C~60°C 和 20%RH~80%RH)下運行時,
傳感器顯示出最佳性能。長期暴露在正常范圍以外的條件下,特別是在高濕度下,可能
會暫時偏移相對濕度信號(例如:在大于80%相對濕度的環境下保持60 小時后,會偏移
3%相對濕度),在回到正常的溫度和濕度范圍后,傳感器將緩慢地自行回到校準狀態;
長期暴露在極端條件下可能加速老化。
通信協議及數據換算
1、產品基本信息
- 通信地址:7位I2C地址默認0X44(可定制為0X45);
- 通信速率:0至1MHz;
注意:高于400KHz的通信速度需嚴格遵循高速I2C通信標準。
2、I2C通信
支持I2C標準模式和快速模式,數據以16位字和8位校驗和的倍數(循環冗余檢查=
CRC)進行傳輸。所有傳輸必須從起始條件(S)開始,并以停止條件(P)終止,要完成讀
取傳輸,請發送非應答(NACK)和停止條件(P),處理一幀特定的從機數據,是通過發
送其7位I2C地址和第8位來表示通信方向:“0”表示傳輸到從機,即“寫”,“1”表示“讀”
請求。I2C傳輸類型的示意如圖3所示,如果傳感器接收到讀取報頭并仍忙于測量或加
熱,它將返回一個NACK。測量數據只能接收一次,并將在第一個已確認的I2C讀取報
頭后從傳感器的寄存器中刪除。
圖 3 數據讀取流程
I2C數據傳輸流程:首先給I2C從機傳輸一個“寫”操作幀頭,從機應答后,緊接著
傳輸具體的命令,例如“ measure RH&T with highest precision ”指令,具體見圖5所述,
測量完成后,向這個I2C從機傳輸讀取請求指令,從機接收指令后將傳輸回測量數據。
3、數據類型和長度
從機發送到主機的數據包信息,每2個8位的數據之后緊跟著1個8位的CRC校驗和,
濕度和溫度數據的傳輸方式為:第一個值是溫度信號(2*8位數據+8位CRC),第二
個值是濕度信號(2*8位數據+8位CRC)。
4、校驗和計算
對于數據讀取,每2個8位的數據之后都有1個8位的CRC校驗和,如圖4所示,如
果不需要校驗和,主機可以在讀取2個8位的數據之后,停止數據讀取。
圖 4 CRC校驗特征值
5、指令概述
如果傳感器還沒有準備好處理一個命令,例如,當它處于測量狀態時,給它發送
讀取數據指令,傳感器將回應一個NACK信號,給加熱器典型的供電值VDD=3.3V。
圖 5 應用指令預覽表
6、信號輸出轉換
模組輸出的溫濕度數據是16位無符號數據,這些數據已經經過線性化處理和溫度補償,將這些原始數據轉換成真實的溫度和濕度數據需要經過用到下列公式:
(1)溫度轉換公式(單位:° C & ° F)
(2)相對濕度轉換公式(單位: %RH)
溫濕度快速轉換:模組在達到最小工作電壓1ms后,I2C通訊準備就緒,結合以上公
式(1)和公式(2),將原始數據轉換成真實的溫度和濕度數據代碼例程如下:
備注:以上代碼為通用例程,使用時需要根據實際情況進行格式微調。
7、復位和中止
傳感器的復位可以通過三種方式來實現:
軟復位:發送圖5中描述的復位命令(0x94)。
I2C指令復位:I2C總線上的所有設備都通過發送命令0x06到I2C地址0x00來復位。
關閉電源復位(包括使SCL和SDA處于低電平)。
任何觸發傳感器動作的命令都可以通過I2C通用呼叫復位或軟復位來中止。
8、加熱器操作
該傳感器包含一個集成的片上加熱器,可以通過圖5中給出的一組命令來打開。可選擇三種加熱功率和兩種加熱時間。在接收到加熱器開啟命令后,傳感器執行以下步驟:
1、加熱器已啟用,計時器開始倒計數;
2、在計時器到期時,啟動重復性最高的溫度和濕度測量,加熱器保持啟用;
3、測量完成后,加熱器被關閉;
4、獲得溫度和濕度值;
加熱器指令的最大開啟時間為1秒,以防止因意外使用加熱器而導致傳感器過熱。
因此,沒有專用的命令來關閉加熱器。對于延長的加熱時間,需要定期發送加熱器開
啟指令,請注意,加熱器設計的最大占空比小于5%。為了獲得溫度的快速升高,連續
加熱脈沖之間的空閑時間應保持在最小限度。
操作加熱器的重要注意事項:
1、加熱器的最大占空比設計為5%,這意味著加熱器的總接通時間不應超過傳感器壽命的5%。
2、在加熱器運行過程中,傳感器規格無效。
3、溫度傳感器還會受到熱誘導機械應力的影響,從而抵消實際溫度的溫度讀數。
4、為了使芯片具有適當的電氣功能,傳感器的溫度(基礎溫度+加熱器的溫度升
高)不得超過Tmax= 125℃。
5、加熱器一旦啟用就會產生大量電流(最高可達75mA)。雖然專用電路能平穩地吸收電流,但電源功率必須足夠大,以避免電壓過低而引起的傳感器復位。如果需要更高的加熱溫度,則必須向傳感器發送連續的加熱命令。加熱器只能在低于65℃的環
境溫度下工作,否則會使傳感器超出其最高工作溫度。
產品電路原理圖
外形尺寸及管腳定義
型號和生產流水碼標簽
為了使集成化的溫濕度模組命名規范化,同時便于質量管理和質量追溯, 在溫濕
度傳感器外殼上用激光打印3行內容:
第一行:公司名稱,中英文均可。
第二行:產品型號。
第三行:生產批次,年月流水碼,如202308批次為2023年08月生產。
產品型號注解如下:
“DXS”:廣州德芯半導體傳感器產品系列;
“TH” :溫濕度類型傳感器;
“3” :外形封裝,1、 環氧樹脂包封,2、 鋁殼、 銅殼、 不銹鋼殼等封裝,3、
塑料殼封裝 ,4、 加固定金屬片,5、 防水透氣膜封裝,6、特殊形式封裝 ;
“G” :溫度準確度等級,詳細參數查閱表 9 測溫最大允許誤差;
“H” :濕度準確度等級,詳細參數查閱表 10 測濕最大允許誤差;
“A” :通信總線類型,“A”為I2C總線,“B”為RS232總線,“C”為RS485總線,“D” 為單總線,“E”為CAN總線;
“3” :直流供電電壓,3為DC3.3V,5為DC5V,12為DC12V;
“350”:電子線纜長度,單位為mm;
| 準確度等級 | F | G | H | J | K | L |
| 允許誤差/℃ | ±0.1 | ±0.2 | ±0.3 | ±0.4 | ±0.5 | 其它 |
| 準確度等級 | C | D | E | F | G | H | J | K | L |
| 允許誤差/%RH | ±0.5 | ±0.8 | ±1 | ±1.5 | ±1.8 | ±2 | ±2.5 | ±3 | 其它 |
溫濕度模組DXSTH3GHC12700
產品簡述
DXSTH3GHC12700(以下簡稱“產品”)溫濕度模組是基于敏感元件極微弱電信號檢測設計以及MEMS工藝設計開發完成的智能溫濕度傳感器,由集成電路板、外殼機構件、線纜及接頭等部件組成。可根據用戶需求設置不同的485通信地址,產品精致小巧,可以便捷集成在各種應用場合。同時產品保持了超低功耗預算,內部集成三檔可變功率加熱器,從而使傳感器能在苛刻的環境中工作。
產品特點
1、RS485標準通信總線、高線性度、溫度補償數字輸出;
2、典型精度為±2%RH和±0.2℃;
3、可測量0~100%RH范圍相對濕度,測量-40~125℃范圍內溫度;
4、供電電壓DC5V~18V;
5、高可靠性和長期穩定性;
6、超低功耗;
注意事項
1、DXSTH3GHC12700數字溫濕度模組儲存環境要求:溫度:0~60℃;濕度:20%~90%RH。
2 、安裝過程中應盡量避免機械外力作用于產品的任何部分,并且盡量避免震動。
3 、對于產品的安裝操作應避免靜電影響。
4 、避免灰塵、泥巴、油脂等污染物進入模組殼體內部而造成模組采集異常或損壞。
工作環境要求
| 項目 | 符號 | 參數 | 單位 |
|---|---|---|---|
| 工作溫度范圍 | T | -30~T上限 | ℃ |
| 工作濕度范圍 | RH | 0~100 | %RH |
| 工作電壓 | VDD | 5~18 | V |
| 最大工作電流 | IDDMAX | 10 | mA |
注:T上限對應PCBA和結構件為 85℃;T上限對應連接線為 80℃;
產品參數及使用建議
1、濕度性能規格參數
| 參數 | 條件 | 數值 | 單位 |
|---|---|---|---|
| 精度公差 | 典型值 | ±2 | %RH |
| 最大值 | 圖1 | - | |
| 可重復性 | 低 | 0.25 | %RH |
| 中 | 0.15 | ||
| 高 | 0.08 | ||
| 分辨率 | - | 0.01 | %RH |
| 滯后 | - | ±1 | %RH |
| 檢測區間 | - | 0~100 | %RH |
| 響應時間 | τ63% | 6 | s |
| 長期漂移 | 典型值 | <0.25 | %RH/yr |
2、溫度性能規格參數
| 參數 | 條件 | 數值 | 單位 |
|---|---|---|---|
| 精度公差 | 典型值:0℃~65℃ | ±0.2 | ℃ |
| 最大值 | 圖2 | - | |
| 可重復性 | 低 | 0.1 | ℃ |
| 中 | 0.07 | ℃ | |
| 高 | 0.04 | ℃ | |
| 分辨率 | - | 0.01 | ℃ |
| 檢測區間 | - | -40 to +125 | ℃ |
| 響應時間 | τ63% | >2 | s |
| 長期漂移 | 典型值 | <0.03 | ℃/yr |
3、產品性能圖
圖 1 25%RH環境下誤差隨溫度變化曲線
圖 2 溫度精度隨溫度變化曲線
4、推薦工作環境
在推薦的正常溫度和濕度范圍(分別為5°C~60°C 和 20%RH~80%RH)下運行時,
傳感器顯示出最佳性能。長期暴露在正常范圍以外的條件下,特別是在高濕度下,可能會暫時偏移相對濕度信號(例如:在大于80%相對濕度的環境下保持60
小時后,會偏移3%相對濕度),在回到正常的溫度和濕度范圍后,傳感器將緩慢地自行回到校準狀態;長期暴露在極端條件下可能加速老化。
通信協議
1、產品基本信息
- 通信地址:RS485地址默認0x01(可定制更改);
- 通信速率:0至1Mbps;
注意:收發器的接收器具有1/8單位負載輸入阻抗(96kΩ),允許最多256個收發器
并行掛接在同一通信總線上。
2、協議概述
本協議數據均為16進制數據,如 “88”為十進制的[136];
[xx]為單字節無符號類型,雙字節數據,高字節在前,低字節在后;
波特率:9600b/s,DataBits:8,StopBits:1,Parity:No。
3、通訊協議格式
| 起始字符時間間隔 | 地址碼 | 功能碼 | 數據 | CRC校驗值 | 結束字符時間間隔 |
|---|---|---|---|---|---|
| ≥3.5char | 8bits | 8bits | N*8bits | 16bits | ≥3.5char |
| 協議格式 | 詳細說明 |
|---|---|
| 地址碼 | 本機地址 |
| 功能碼 | 讀取或設置傳感器狀態 |
| 數據 | 數據長度、讀取或者寫入的數據,長度可變 |
| CRC校驗值 | 地址碼、功能碼和數據的 CRC 校驗 |
4、通訊協議功能碼表
| 功能碼 | 寄存器地址 | 數據名稱 | 計量單位 | 值含義 |
|---|---|---|---|---|
| 03H | 0001H | 甲醛傳感器故障狀態 | 0:正常 1:故障 | |
| 03H | 0002H | 顆粒物傳感器故障狀態 | 0:正常 1:故障 | |
| 03H | 0003H | CO2傳感器故障狀態 | 0:正常 1:故障 | |
| 03H | 0004H | 溫濕度傳感器故障狀態 | 0:正常 1:故障 | |
| 03H | 0005H | 備用 | ℃ | |
| 03H | 0006H | PM2.5濃度(CF=1,標準顆粒物,預留) | μg/m3 | 整數 |
| 03H | 0007H | PM2.5濃度(大氣環境下) | μg/m3 | 整數 |
| 03H | 0008H | 二氧化碳濃度 | PPM | 整數 |
| 03H | 0009H | 甲醛含量(預留) | mg/m3 | 精確3位 |
| 03H | 000AH | 空氣溫度(實際溫度=(返回值-500)/10) | ℃ | 整數 |
| 03H | 000BH | 相對濕度(實際濕度=返回值/10) | %RH | 整數 |
| 03H | 000CH | VOC(預留) | 0~3等級 | |
| 03H | 000DH | 預留數據地址,方便擴容 | ||
| 03H | 000EH | 預留數據地址,方便擴容 | ||
| 03H | 000FH | 預留數據地址,方便擴容 | ||
| 03H | 2000H | 0x1001(固定值,代表RS485環境傳感器組件) | 映射地址 0010H | |
| 03H | 2001H | 軟件版本 | 映射地址 0011H |
5、通訊協議詳細描述
| 請求 | 響應 | ||
|---|---|---|---|
| 從機地址 | 0x01 | 從機地址 | 0x01 |
| 功能碼 | 0x03 | 功能碼 | 0x03 |
| 寄存器地址高(Byte) | 0x00 | 數據個數 | 0x02 |
| 寄存器地址低(Byte) | 0x0A | 數據高位 | 0x02 |
| 寄存器個數高(Byte) | 0x00 | 數據低位 | 0xBC |
| 寄存器個數低(Byte) | 0x01 | 數據高位 | 0x01 |
| 數據低位 | 0xF4 | ||
例:
發→01 03 00 0A 00 02 09 E4
收←01 03 04 02 BC 01 F4 78 3A
外形尺寸及管腳定義
型號和生產流水碼標簽
為了使集成化的溫濕度模組命名規范化,同時便于質量管理和質量追溯, 在溫濕
度傳感器外殼上用激光打印3行內容:
第一行:公司名稱,中英文均可。
第二行:產品型號。
第三行:生產批次,年月流水碼,如202308批次為2023年08月生產。
產品型號注解如下:
“DXS”:廣州德芯半導體傳感器產品系列;
“TH” :溫濕度類型傳感器;
“3” :外形封裝,1、 環氧樹脂包封,2、 鋁殼、 銅殼、 不銹鋼殼等封裝,3、
塑料殼封裝 ,4、 加固定金屬片,5、 防水透氣膜封裝,6、特殊形式封裝 ;
“G” :溫度準確度等級,詳細參數查閱表 9 測溫最大允許誤差;
“H” :濕度準確度等級,詳細參數查閱表 10 測濕最大允許誤差;
“C” :通信總線類型,“A”為I2C總線,“B”為RS232總線,“C”為RS485總線,“D” 為單總線,“E”為CAN總線;
“12” :直流供電電壓,3為DC3.3V,5為DC5V,12為DC12V;
“700”:電子線纜長度,單位為mm;
| 準確度等級 | F | G | H | J | K | L |
| 允許誤差/℃ | ±0.1 | ±0.2 | ±0.3 | ±0.4 | ±0.5 | 其它 |
| 準確度等級 | C | D | E | F | G | H | J | K | L |
| 允許誤差/%RH | ±0.5 | ±0.8 | ±1 | ±1.5 | ±1.8 | ±2 | ±2.5 | ±3 | 其它 |
下載文件
氣體傳感
氣體傳感器芯片
1:半導體傳感器:通過氣體與半導體的相互作用影響半導體電阻變化來檢測
2:紅外線傳感器:依靠氣體分子吸收紅外線的特性,進行檢測
3:電化學傳感器:依靠特定氣體與電極發生反應,產生一定電流或電勢差來檢測
半導體氣體傳感器性能特點
1:穩定性好
2:靈敏度高
3:選擇性強
4:響應速度快
5:抗干擾能力強
氣體傳感器產品功能
監測有毒氣體包括甲烷、硫化氫、一氧化碳、二氧化碳、氰化物等;監測腐蝕性氣體,如氯氣、臭氧氣體、二氧化氯氣體等監測易燃易爆氣體,如甲烷、酒精、氫氣等
申請規格書
霍爾傳感器
霍爾傳感器芯片
霍爾傳感器的工作原理基于霍爾效應,由霍爾元件和附屬電路組成的集成傳感器。芯片內部由電壓穩壓單元、霍爾電壓發生器、差分放大電路、溫度補償電路、輸出電路組成,它可以檢測磁場及其變化,可在各種與磁場有關的場合中使用。
霍爾傳感器性能特點
1:高靈敏度微功耗設計
2:工作電壓范圍:2.5V~5.5V
3:雙極磁場檢測、數字輸出信號
4:動態失調消除和斬波放大技術
5:優越的溫度穩定性
6:極低的開關點漂移
7:對物理應力不敏感
霍爾傳感器產品功能
一款微功耗、全極性的霍爾效應開關芯片,采用了混合信號的CMOS制程,工作電壓范圍為2.5V到5.5V。芯片采用了先進的動態失調消除技術、斬波放大技術溫度漂移補償技術和電源電壓補償技術,使該芯片具有優越的溫度穩定性、極低的開關點漂移和對物理應力不敏感的卓越性能。當磁場強度大于工作點BOP時,芯片輸出為低電平;當磁場強度減小至釋放點BRP時,芯片輸出為高電平。
申請規格書
頂部
